Ein Komfort jenseits der Zeit: Die Vergangenheit und Zukunft der Fußbodenheizung

Fußbodenheizungen werden schon seit Tausenden von Jahren eingesetzt, um Häuser warm, gesund und komfortabel zu halten. In diesem Artikel werden wir die Entstehung von Fußbodenheizungen und ihre Entwicklung von der römischen Antike bis heute untersuchen. Wir werden auch erörtern, wie Ingenieure unser Leben mit Innovationen in der Fußbodenheizungstechnik komfortabler gemacht haben.
Fortschrittliche Technologie des alten Roms: Fußbodenheizungen
Haben Sie schon einmal einen Raum betreten oder sind aus der Dusche gestiegen und haben Wärme an den Füßen gespürt? Wenn ja, können wir sagen, dass wir diesen luxuriösen Komfort den Römern zu verdanken haben. Wer hätte gedacht, dass Menschen, die Komfort lieben, auch Jahrhunderte später noch Pionierarbeit leisten und das System entwickeln würden, das heute so verbreitet und entwickelt ist?
Was ist ein Hypokaustum?
Die Hypokausten gelten als Vorläufer der heutigen Fußbodenheizungen und wurden in den Bädern des antiken Roms und später in den Häusern einiger wohlhabender Familien verwendet. Zunächst wurde es in öffentlichen Bädern verwendet, und während der Kaiserzeit verbreitete es sich rasch in fast allen Provinzen und fand eine breite Palette von Anwendungen.

Wie funktioniert das Hypokaustum?
Römische Architekten und Schriftsteller, die sich in dieser Zeit mit dem Hypokaustum beschäftigten, stellten lange mathematische Berechnungen zu Fragen wie der Raumtemperatur, der Menge des zu verbrennenden Holzes, der Dauerhaftigkeit der Wärme auf dem Bad und der Umwelt an. Unter der Annahme, dass der Ofen das ganze Jahr über ununterbrochen brennen würde, errechneten sie einen jährlichen Holzverbrauch von 114 Tonnen.
Wie Sie sich vorstellen können, war ein Holzverbrauch von 114 Tonnen für die damalige Zeit recht hoch. Der Aufwand für das Sammeln dieser Bäume war damals ebenfalls sehr zeitaufwändig. Vor allem an Wintertagen, wenn die Temperatur niedrig war, hat das Erreichen der gewünschten Innentemperatur diesen Verbrauch noch erhöht. Um diesen Energiebedarf zu decken, wurde eine große Menge an Bäumen massakriert.
Wie wird die Temperaturübertragung gewährleistet?
Die Rauchgase, die für die Beheizung des Raumes sorgen, wurden „Pilae“ genannt. Diese Stützen waren in Reihen auf dem Boden angeordnet. Diese aus Ziegeln gefertigten Stützen wurden mit Mörtel verbunden und auf den Boden des Bades gelegt. Dieser Boden wurde in einer schrägen Form gestaltet. Dies half, mögliche Probleme wie Feuer zu vermeiden. Auch die Reinigung der Asche wurde dadurch erleichtert.

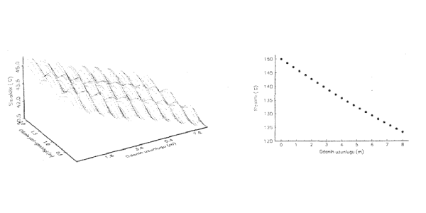
In der nachstehenden Grafik sehen Sie den Rückgang der Oberflächentemperatur im gesamten Raum. Der Temperaturabfall ist auf Faktoren wie die Rauchgase, die ihre Temperatur im gesamten Raum verlieren, die Größe des Raums und die Temperatur der äußeren Umgebung zurückzuführen.

Wie Sie sich vorstellen können, war das Hypokaustensystem sehr gefährlich. Eine davon war die Vergiftung von Menschen durch Kohlenmonoxidgas, das bei der Verbrennung entsteht.
Es ist auch bekannt, dass viele Menschen durch Gase starben, die aus den Stützen, den sogenannten Pilae, austraten. Darüber hinaus kam es damals häufig zu Situationen, in denen das brennende Feuer außer Kontrolle geriet und einen Brand verursachte.
Diese Heiztechnik, die etwa 1000 Jahre lang angewandt wurde, inspirierte auch die Beheizung der Bäder in der andalusischen Region. Noch heute kann man in vielen antiken Städten Anatoliens und des Mittelmeerraums auf Überreste von Hypokausten stoßen.

Insbesondere das Römische Bad von Ankara ist eines der wichtigsten Beispiele für Hypokausten aus der Römerzeit, das auch heute noch häufig besucht wird.
Obwohl wir dieses einzigartige, innovative und kreative System, das die Römer in die Welt brachten, bewundern, hat das Hypokausten-System bereits seinen Platz in der Geschichte eingenommen. Natürlich ist ihr Beitrag zu den heutigen Fußbodenheizungen und die Vision, die sie in die Welt brachten, von unschätzbarem Wert. Die Energieprobleme unserer Zeit und unsere schwindenden Ressourcen haben uns jedoch immer wieder das Gefühl vermittelt, neue Lösungen zu finden. Aus diesem Grund haben wir uns für Fußbodenheizungen entschieden, die weniger gefährlich, umweltfreundlich, effizienter und funktioneller sind. Diese Systeme sind in der Welt sehr weit verbreitet.

Mit der Entwicklung von Wissenschaft und Technik haben wir jetzt die Möglichkeit, der Natur die gebührende Bedeutung beizumessen, Energie zu sparen und effizient zu heizen. In unserer sich entwickelnden und wandelnden Welt ist der Gedanke, die Natur zu schützen und Energie kontrolliert zu nutzen, zu einer Verantwortung geworden, zu der niemand mehr Nein sagen kann.
Ein Komfort jenseits der Zeit: Fußbodenheizungssysteme heute
Im Laufe des letzten Jahrhunderts haben wir uns von einfachen Fußbodenheizungen zu Systemen entwickelt, die in jedem Raum des Hauses eine individuell angepasste Heizung bieten können. Mit dieser Entwicklung sind die Fußbodenheizungssysteme vielfältiger geworden und haben sich viele Anwendungsbereiche erschlossen. Insbesondere hat sie einen großen Beitrag dazu geleistet, die im Laufe der Jahre entstandene Verschwendung von Energie, Geld und Zeit zu vermeiden.
Werfen wir einen Blick darauf, wie sich diese Systeme bis heute entwickelt haben, um Energieressourcen effizient und effektiv zu nutzen.
KasTherm – Fußbodenheizungssysteme in der Türkei

Was hat sich bei diesem System von vor Jahrhunderten bis heute geändert? Was sind die Unterschiede zwischen den Heizsystemen in der Römerzeit und den KasTherm-Fußbodenheizungssystemen, die heute in unseren Wohnungen, an unseren Arbeitsplätzen und in vielen anderen Bereichen eingesetzt werden?
Gleiche Logik, aber andere Funktionsweise
Wie zu Zeiten der Römer verbreiten Kastherm-Fußbodenheizungen die Wärme über den Boden in den Raum. Aber man muss kein Holz mehr verbrennen, damit diese Systeme funktionieren 🙂 Stattdessen übernehmen Kastherm-Kollektoren diese Aufgabe für Sie und regeln dank digitaler Raumthermostate sogar die Temperatur in Ihrer Wohnung bis hin zum Wärmegrad. Außerdem hält sich die gewonnene Wärme viel länger im Raum.
Wie funktioniert eine KasTherm-Fußbodenheizung?
- Das von der Energiequelle wie Heizkessel oder Kombikessel kommende Wasser gelangt über Rohre zu den Kollektoren.
- Das Wasser wird durch den an der Wand montierten Kollektor an die Rohre verteilt.
- Das Wasser erreicht die auf dem Boden verlegten Rohre und die Wärme beginnt sich im Raum zu verteilen.

Wo können Kastherm-Fußbodenheizungssysteme eingesetzt werden?
- Heimbüros
- Sonnenzimmer
- Schlafräume
- Küchen
- Kellergeschosse
- Garagen
- Bäder
- Schulen

Welche Vorteile bieten die KasTherm-Fußbodenheizungssysteme?
Was sind die Vorteile einer Fußbodenheizung?
1) Gesundheit und Hygiene
Fußbodenheizung, da sie bei niedrigeren Temperaturen funktioniert:
- Verringert die Zirkulation von Schadstoffen in der Luft.
- Verursacht keine Staubbildung.
- Sie trocknet die Luftfeuchtigkeit in der Umgebung nicht aus und verringert so die durch zu trockene Luft verursachten Gesundheitsprobleme.
2) Einsparung
- Im Vergleich zu herkömmlichen Heizsystemen spart sie 15 %.
- Da sie mit niedrigen Temperaturen arbeitet, spart sie Brennstoff.
- Während Heizkörpersysteme mit 70-80 °C heißem Wasser arbeiten, arbeitet das Fußbodenheizungssystem mit 30-50 °C.
3) Lange Lebensdauer
- Sie hält 3 Mal länger als herkömmliche Heizmethoden.
4) Effiziente Heizung
- Beim Heizkörpersystem gelangt die erwärmte Luft zunächst in den oberen Teil der Decke. Sie verliert deutlich an Wärme, bis sie ihre Zirkulation beendet hat und den Boden erreicht. Die Besonderheit der KasTherm-Heizsysteme ist die gleichmäßige Verteilung der Wärme. Die erwärmte Luft steigt im Raum auf und die Umgebung wird erwärmt.
Warum KasTherm?
Die Besonderheit des KasTherm-Heizsystems besteht darin, dass die Wärme gleichmäßig im Raum verteilt wird. Ausgehend vom Fußboden steigt die erwärmte Luft gleichmäßig im Raum auf und die Umgebung wird effizienter erwärmt. Bei KasTherm ermöglicht dieses System eine funktionellere Nutzung der Wärme in der Umgebung. KasTherm arbeitet außerdem mit hoher Leistung, da es sich um ein System handelt, das Wärmeverluste deutlich verhindert.
Mit dem Fortschritt der Wissenschaft und der technischen Entwicklung sind die Fußbodenheizungssysteme vielfältiger geworden. Moderne Fußbodenheizungssysteme sind einfach zu installieren und können die Temperatur in neuen Gebäuden leicht erhöhen, so dass die Menschen weniger Zeit, Geld und Energie aufwenden müssen, um ihre Häuser an kalten Wintertagen zu heizen.
Wie funktionieren die KasTherm-Fußbodenheizungssysteme?
Grundsätzlich wird die Wärme des heißen Wassers aus der Energiequelle durch Rohrleitungen über die Oberfläche verteilt. Und die Rohrleitungen erwärmen die Umgebung.
Wie wählen Sie das beste Fußbodenheizungssystem für Ihr Haus?
Die Qualität der zu verwendenden Materialien spielt dabei eine wichtige Rolle. Gleichzeitig sollte das zu verwendende Material entsprechend der Größe des zu beheizenden Raums in Ihrer Wohnung berechnet werden.
Warum sind einige Bereiche des Fußbodens im Haus wärmer?
Fußbodenheizungen können in jedem Bereich Ihrer Wohnung eingesetzt werden. Sie können zum Beispiel in Ihrem Badezimmer installiert werden, aber nicht im Wohnzimmer.
Wie kann ich die Effektivität des Heizsystems in meinem Haus erhöhen?
Der Wechsel von herkömmlichen Heizkörpern zu Fußbodenheizungen kann eine Lösung für Sie sein. Es erhöht nicht nur die effektive Verteilung der Wärme in Ihrem Haus, sondern spart auch Energie und Geld.
Wie wird eine Kastherm-Fußbodenheizung installiert?
Über den unten stehenden Link können Sie die Installation der Fußbodenheizung von Anfang bis Ende verfolgen.
https://www.youtube.com/watch?v=S23p37uts00
Wie lange dauert das Aufheizen?
Die Aufwärmzeit beträgt durchschnittlich 2-4 Stunden.
In welchen Bereichen meines Hauses kann ich Fußbodenheizungen einsetzen?
Sie können Fußbodenheizungen in jedem Bereich Ihres Hauses verwenden. Der am häufigsten genutzte Bereich für Fußbodenheizungen ist das Badezimmer. und das Wohnzimmer.
Gibt es Leckagen an den Rohren?
Kas verwendet in Fußbodenheizungssystemen KasTherm pert-Rohre. Pert-Rohre werden in 3 oder 5 Schichten hergestellt und sind stoßfest. Dank ihrer flexiblen Struktur gibt es keine Probleme wie Reißen oder Brechen und sie sind resistent gegen hohe Temperaturen. Dank dieser Eigenschaften gibt es keinen Wasseraustritt aus KasTherm pert Rohren.
Auf welchen Flächen können Fußbodenheizungen eingesetzt werden?
Fußbodenheizungen können problemlos auf Stein- oder Fliesenböden, Holzböden und vielen anderen Bodenarten verwendet werden.
KAS macht Ihnen seit 1970 das Leben leichter mit seinen Sanitär- und Heizungsprodukten, die mit Qualität und fachmännischer Verarbeitung hergestellt werden. Zu allen Fragen können Sie sich per E-Mail an info@kas.com.tr oder telefonisch unter 0 216 311 35 45 informieren.